Research Interests


My research interests include theoretical and observational investigations of the progenitors, central engines and radiation mechanisms of GRBs.

Currently, I am conducting observation-oriented research on GRBs. I have contributed to several research projects discovering new and exciting GRB events. Specifically, I have been actively involved in the data analysis and follow-up studies of GRB 211211A and GRB 230307A, which are two peculiar long-duration bursts with kilonova emissions. Moreover, I led a project to analyze Magnetar Giant Flare (MGF) GRB 231115A and interpret it using a Comptonized fireball bubble model.

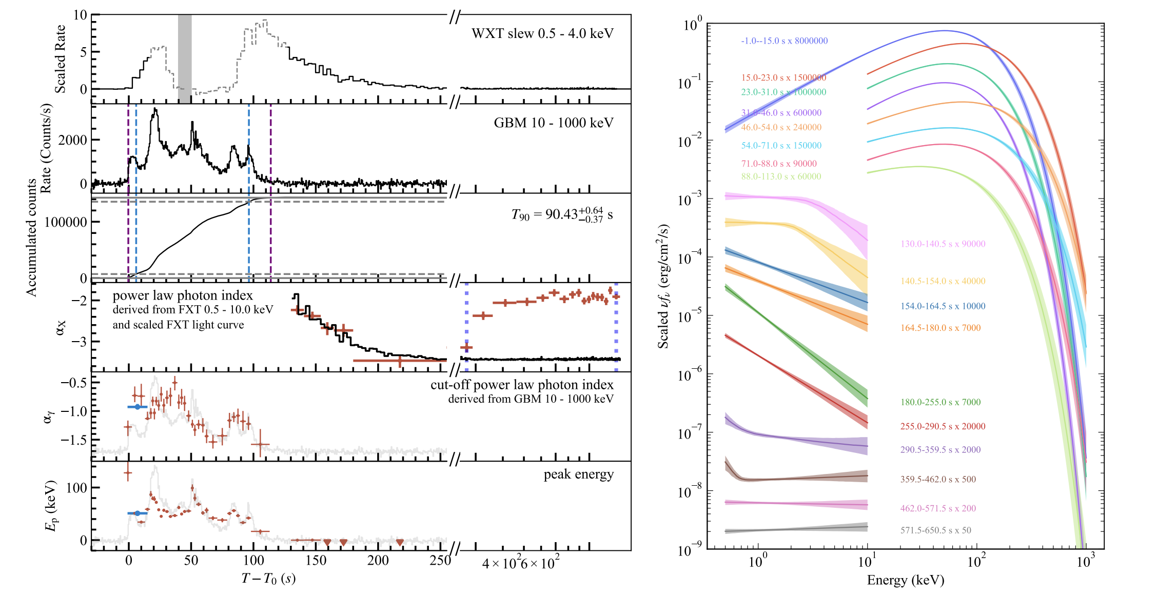
After the launch of Einstein Probe (EP), earlier engine activation and extended late engine activity have been captured through a continuous monitoring of the GRB event. This has provided new insights into the central engine and radiation mechanisms of GRBs, revealing previously undiscovered features such as variations in light curve structures and spectral discrepancies. I am investigating into the emergence of different radiation processes, as indicated by these observational findings and implications.

I am also developing a Python-based data analysis pipeline for the Wide-field X-ray Telescope (WXT) observations aboard EP. Building on my expertise in X-ray and gamma-ray transient analysis, I led the study of the first EP-detected fast X-ray transient, EP240219a, identifying it as an X-ray rich GRB with a peak energy characteristic of classical GRBs, which challenges the current working definitions of GRB subclassification. Recently, I discovered a distinct spectral pattern in several fast X-ray transients, where the spectral index transitions from softening to hardening, eventually reaching a plateau. This well-tracked soft–hard–flat spectral pattern provides a clear indication of afterglow emergence from the fading prompt emission and offers a practical criterion for identifying a distinct population of GRBs among fast X-ray transients, even in the absence of a gamma-ray counterpart or obvious temporal break. Looking ahead, I will collect a larger sample of EP-detected GRBs to further explore the physical processes shaping their prompt and afterglow emissions.

See more: Publications  •  Talks